在藥品包裝材料的研發與質量控制中,藥用硬片的性能評估占據著舉足輕重的地位。其中,加熱伸縮率是衡量硬片材料在溫度變化下尺寸穩定性的一項重要指標。本文基于4027《藥用硬片加熱伸縮率測定法公示稿(第二次)》的內容,詳細闡述該測定方法的操作步驟、注意事項及意義,以期為相關行業提供科學的指導和參考。
一、引言
藥用硬片作為藥品包裝的重要組成部分,其材料特性直接關系到藥品的保存質量、運輸安全及患者使用便捷性。加熱伸縮率作為評估硬片材料熱穩定性的關鍵參數,能夠有效反映材料在高溫環境下的尺寸變化特性,對于篩選合適的包裝材料、確保藥品包裝在復雜環境下的可靠性具有重要意義。
二、測定原理與方法概述
1.測定原理
加熱伸縮率是指樣品在一定時間內經歷特定環境溫度后,其尺寸(主要是長度或寬度)發生的變化程度,以標點間距離的變化量與初始標點間距離之比的百分率表示。這一指標直接關聯到硬片材料在溫度波動環境下的適應性及尺寸穩定性。
2.儀器裝置
加熱裝置:采用烘箱或環境試驗箱,要求溫度控制精度達到±2℃,以確保試驗條件的準確性和可重復性。
測量用尺:測量精度至少為±0.2mm,以精確記錄試樣加熱前后的尺寸變化。
三、測定步驟詳解
1.試樣準備:首先,將試樣置于標準環境(23℃±2℃,相對濕度50%±5%)中狀態調節至少4小時,以消除試樣因環境因素引起的尺寸變化。
2.試樣切割與標記:沿硬片縱向切取邊長為120mm±1mm的正方形供試品二片(圖1),并在每片試樣上通過中心點位置分別沿縱向和橫向作出兩條互相垂直的線段AB、CD,兩線段長度均為100mm±1mm。在線段頂端劃出刻痕,作為測量基準點。

3.初始尺寸測量:準確測定每片供試品上的線段AB、CD的長度,并分別計算其算術平均值L1,作為加熱前的尺寸基準。
4.加熱處理:將供試品平放在不影響其自由變形的玻璃或金屬板上,然后水平放置于設定溫度為100℃±1℃的加熱裝置內,保持10分鐘。此步驟模擬了藥用硬片在極端溫度條件下的使用情況。
5.冷卻與再次測量:取出加熱后的試樣,待其自然冷卻至室溫后,在與試樣狀態調節相同的環境中保持至少30分鐘,以穩定其尺寸。隨后,再次測量每片供試品上的線段AB、CD的長度,并分別計算其算術平均值L2。
四、結果計算與表示
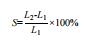
加熱伸縮率(S)的計算公式為:
![]()
其中,S為加熱伸縮率,%;L1為加熱前標點間距離的算術平均值,mm;L2為加熱后標點間距離的算術平均值,mm。
五、意義與應用
通過測定藥用硬片的加熱伸縮率,可以全面了解材料在高溫環境下的尺寸穩定性,為包裝材料的選擇、包裝設計優化及質量控制提供科學依據。同時,該指標也是評估包裝材料是否滿足藥品保存要求、確保藥品安全性的重要手段之一。
六、結論
綜上所述,《藥用硬片加熱伸縮率測定法》作為一項科學嚴謹的試驗方法,對于提升藥品包裝材料的質量、保障藥品的安全性和有效性具有重要意義。通過嚴格遵循測定步驟和計算方法,我們可以準確評估藥用硬片的加熱伸縮率,為藥品包裝行業的健康發展貢獻力量。
地址:山東省濟南市市中區綠地泉景雅園商務大廈16層
電話:15665715386
郵箱:1684212232@qq.com